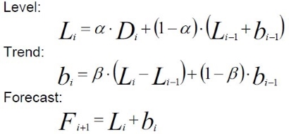
Holt’s linear method
The Holt’s Linear Method is an extension of exponential smoothing to take into account a possible linear trend. This model is suitable for non-seasonal data with a trend. The model has two smoothing constants, α and β. The method uses these equations:

For 0 ≤ α ≤ 1 and 0 ≤ β ≤ 1.