Holt-Winters Additive trend and seasonality method
The method takes both trend and seasonality into consideration.

Where s is the seasonality period length.
For 0 ≤ α ≤1, 0 ≤ β ≤1 and 0 ≤ γ ≤ 1.
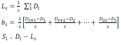
To get started, initial values of the level, trend and seasonality are required. To
initialize the seasonality a minimum of one complete seasonal cycle is required
.
Initial values for
are calculated based on:

This table displays the initializations for Holt-Winters 4 Additive:

