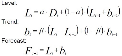
Holt’s Linear Method
The Holt’s Linear Method is an extension of exponential smoothing to take into account a possible linear trend. This model is good for non-seasonal data with a trend. There are two smoothing constants α and β. It follows the equations:

For 0 ≤ α ≤ 1 and 0 ≤ β ≤ 1.