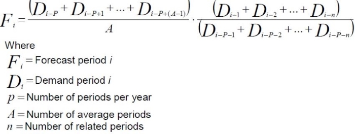
Period Relation
The Period Relation forecast algorithm calculates the forecast equal to the relation between previous x number of periods and the same x number of periods last year multiplied with the average demand for y number of periods last starting with the current period previous year.

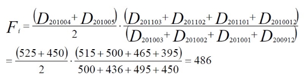
For example, p = 12 (number of months per year) A = 2 n = 4

