Création de diagrammes de contrôle Xm et R
Les diagrammes de contrôle sont utilisés pour gérer et contrôler régulièrement un processus.
Cette combinaison de diagrammes est utilisée lorsque la caractéristique de la taille de l'échantillon pris en compte est plus dynamique et variée. Le diagramme XmR analyse chaque échantillon ; il est la résultante de la combinaison des deux diagrammes. Le diagramme X est affiché dans la partie supérieure de l'écran alors que le diagramme R (représentant la plage mobile) est, quant à lui, affiché dans la partie inférieure.
La zone de tracé supérieure du diagramme affiche les valeurs mesurées de toutes les instances au sein d'un échantillon, l'axe des x représentant la dimension temps. La zone de tracé inférieure du diagramme affiche l'étalement/ la plage mobile (R) des valeurs mesurées comparées à la mesure précédente.
Génération du diagramme
Chaque valeur mesurée de l'échantillon est tracée sous forme de points en x. Compte tenu du fait que Xi représente la valeur mesurée d'un échantillon, chaque valeur Xi est tracée sur l'axe des x.
Calculez les valeurs de la plage mobile entre deux points de données Xi successifs à l'aide de la formule suivante. La plage mobile mRi est tracée sur l'axe des x. Les barres verticales (| |) symbolisent la valeur absolue du nombre compris entre ces barres.

Calculez la moyenne générale des points de données Xi. La moyenne des valeurs X devient la ligne médiane du tracé supérieur.

Calculez la moyenne des plages mobiles. La moyenne générale des plages mobiles devient la ligne médiane de la zone de tracé inférieure.

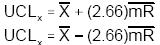
Calculez les limites supérieures et inférieures de contrôle associées aux valeurs X pour la zone de tracé supérieure. Utilisez la formule de calcul suivante.

Calculer la limite supérieure de contrôle associée aux plages mobiles pour la zone de tracé inférieure. Il n'existe pas de limite inférieure de contrôle pour les plages mobiles. Utilisez la formule suivante :

Les données XmR calculées ci-dessus pour la plage donnée de résultats de test s'afficheront dans un objet de type Graphique.
