XM - R 管理図を作成するには
管理チャートは、処理を定期的に監視および制御するために使用されます。
チャートのこの組合せは、対象サンプルサイズの特徴がより動的で変化が大きい場合に使用されます。XmR チャートはすべてのサンプルを分析し、2 つのチャートの組合せです。個々の X チャートは、画面の上部に表示され、移動範囲チャートは画面の下部に表示されます。
チャートの上部プロット領域では、時間ディメンションを表す X 軸を持つサンプル内にすべてのインスタンスの測定値が表示されます。チャートの下部プロット領域には、前の測定値と比較した測定値の移動の広がり/範囲 (R) が表示されます。
チャートを生成するには
各サンプル測定値は、個々の X 点としてプロットされます。Xi が個々のサンプルの測定値を表すことを考えると、個々の Xi 値は X にプロットされます。
次の公式を使用して、連続する 2 つの Xi データポイント間の移動範囲値を計算します。移動範囲 mRi は X 軸にプロットされます。括弧 (| |) は、括弧内の数字の絶対値を表します。

個々の Xi データポイントの全体的な平均を計算します。個々の X 値の平均は、上部プロットの中心線となります。

移動範囲の平均を計算します。すべての移動範囲の合計平均は、下部プロット領域の中心線になります。

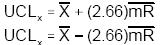
上部プロット領域の個々の X 値の上部および下部管理限界を計算します。計算には次の公式を使用します。

下部プロット領域の移動範囲の上部管理限界を計算します。移動範囲の下部管理限界はなくなりました。次の公式を使用します。

注:
テスト結果の特定範囲の XmR の上記の計算データが、チャートオブジェクトに表示されます。
