Xbar- en S-diagrammen aanmaken
Beheerdiagrammen worden gebruikt voor het bewaken en controleren van processen.
Het onderste gedeelte van het diagram toont de standaardafwijking (S) van de meetwaarden per steekproef. Het S-diagram dat het eerst wordt aangemaakt dient om te controleren dat alle aspecten van de steekproef worden meegenomen.
Voor het genereren van een Xbar- en S-beheerdiagram moeten de volgende stappen worden uitgevoerd:
Elke steekproef wordt als een subgroep beschouwd. Bereken het gemiddelde van de meetwaarden per subgroep.

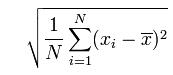
Bereken de standaardafwijking S per subgroep.

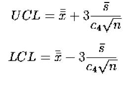
Bereken het midden van alle waarden. Alle waarde moeten bij elkaar worden opgeteld en door het totaal aantal waarden worden gedeeld. Het berekende midden wordt de middenlijn van het bovenste gedeeelte van het diagram.
Bereken het gemiddelde van de reeksen subgroepen. Het gemiddelde van alle subgroepen is de middenlijn van het onderste gedeelte van het diagram.
Bepaal de gemiddelden van de subgroepen in het bovenste en onderste gedeelte van het diagram. De grenzen die in het bovenste gedeelte van het diagram worden weergegeven, worden berekend met de volgende formule:

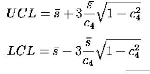
De grenzen van het bereik voor de standaardafwijkingen worden berekend met de volgende formules. Deze grenzen worden in het onderste gedeelte van het diagram weergegeven.


