Crear gráficos de control Xm y R
Los gráficos de control se utilizan para supervisar y controlar regularmente un proceso.
Esta combinación de gráficos se utiliza en los casos en que la característica de tamaño de muestra de interés es más dinámica y variada. El gráfico XmR analiza cada muestra y es una combinación de dos gráficos; el gráfico X individual se muestra en la parte superior de la pantalla y el gráfico Rango móvil se muestra en la parte inferior de la pantalla.
El área de trazado superior del gráfico muestra los valores medidos de todas las instancias dentro de una muestra y el eje X representa la dimensión tiempo. El área de trazado inferior del gráfico muestra la distribución móvil/el rango (R) de los valores medidos comparados con la medida precedente.
Generar el gráfico
Cada valor medido de muestra se traza como puntos X individuales. Teniendo en cuenta que Xi representa el valor medido de una muestra individual, los valores individuales de Xi se trazan en el eje X.
Calcule los valores de Rango móvil entre dos puntos de datos Xi sucesivos utilizando la fórmula siguiente. El Rango móvil mRi se traza en el eje X. Los paréntesis (| |) representan el valor absoluto del número que hay dentro de ellos.

Calcula el promedio total de los puntos de datos Xi individuales. El promedio de los valores individuales de X se convierte en la línea central del trazo superior.

Calcula el promedio de los rangos móviles. El promedio total de todos los rangos móviles se convierte en la línea central del área de trazado inferior.

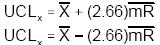
Calcula los límites de control superior e inferior para los valores individuales de X para el área de trazado superior. Utilice la fórmula siguiente para el cálculo.

Calcula el límite de control superior de los rangos móviles para el área de trazado inferior. No hay límite de control inferior para los rangos móviles. Utilice la fórmula siguiente.

Los datos calculados anteriormente de XmR para el rango determinado de resultados de la prueba se mostrarán en un objeto de gráfico.
