Para criar gráficos de controle Xm e R
Os gráficos de controle são usados para monitorar e controlar regularmente um processo.
Essa combinação de gráficos é usada se a característica de interesse do tamanho da amostra for mais dinâmica e variada. O gráfico XmR analisa cada amostra e é uma combinação de dois gráficos: o gráfico X individual é exibido na parte superior da tela e o gráfico de Intervalo móvel, na parte inferior dela.
A área de plotagem superior do gráfico exibe os valores medidos de todas as instâncias em uma amostra, com o eixo X que representa a dimensão de tempo. A área de plotagem inferior do gráfico exibe a distribuição/intervalo móvel (R) dos valores medidos em comparação com a medição anterior.
Para gerar o gráfico
Cada valor medido da amostra é plotado como pontos de X individuais. Considerando que Xi representa o valor medido de uma amostra individual, os valores de Xi individuais são plotados no eixo X.
Calcule os valores de Intervalo móvel entre dois pontos de dados Xi sucessivos usando a seguinte fórmula. O Intervalo móvel RM é plotado no eixo X. Os colchetes (| |) representam o valor absoluto do número entre colchetes.

Calcule a média geral dos pontos de dados Xi individuais. A média dos valores de X individuais torna-se a linha central da plotagem superior.

Calcule a média dos intervalos móveis. A média total dos intervalos móveis torna-se a linha central da área de plotagem inferior.

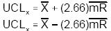
Calcule os limites de controle superior e inferior para os valores de X individuais na área de plotagem superior. Use a seguinte fórmula para o cálculo:

Calcule o limite de controle superior dos intervalos móveis para a área de plotagem inferior. Não há limite de controle inferior para os intervalos móveis. Use a seguinte fórmula:

Os dados calculados acima de XmR para o intervalo determinado de resultados de teste serão exibidos em um Objeto de gráfico.
