Para criar gráficos de controle X-bar e S
Os gráficos de controle são usados para monitorar e controlar regularmente um processo.
A área de plotagem inferior do gráfico é o desvio padrão (S) dos valores medidos para cada amostra. O gráfico S é criado primeiro para garantir o controle estatístico da variabilidade da amostra.
Para gerar gráficos de controle X-bar e S, execute os seguintes passos:
Considere cada amostra como um subgrupo. Calcule a média dos valores medidos para cada subgrupo.

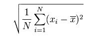
Calcule o desvio padrão S de cada subgrupo.

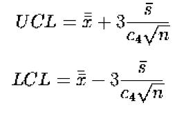
Calcule a média de todos os valores. Todos os valores devem ser acumulados e divididos pelo número total de valores. A média calculada torna-se a linha central da área de plotagem superior do gráfico.
Calcule a média dos intervalos do subgrupo. A média de todos os subgrupos torna-se a linha central da área de plotagem inferior do gráfico.
Calcule UCL e LCL para médias de subgrupos. Use as seguintes fórmulas para calcular os limites que são plotados na área de plotagem superior:

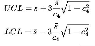
Os limites de intervalo para os desvios padrão são calculados utilizando as seguintes fórmulas. Esses limites são plotados na área de plotagem inferior:


