Xm- en R-beheerdiagrammen aanmaken
Beheerdiagrammen worden gebruikt voor het bewaken en controleren van processen.
Deze combinatie van diagrammen wordt gebruikt als de steekproefgrootte van het betreffende kenmerk meer dynamisch en gevarieerd is. Het XmR-diagram toont een analyse van elke steekproef en bestaat uit twee diagrammen; in het bovenste gedeelte van het scherm bevindt zich het X-diagram en in het onderste gedeelte het diagram met voortschrijdend bereik.
Het bovenste gedeelte van het diagram toont de meetwaarden van alle instances binnen een steekproef. De x-as geeft de tijd weer. Het onderste gedeelte van het diagram toont de/het voortschrijdend(e) spreiding/bereik (R) van de meetwaarden ten opzichte van de vorige meting.
Het diagram geneereren
De meetwaarden van elke steekproef worden als afzonderlijke X-punten weergegeven. Xi geeft de meetwaarde van een afzonderlijke steekproef weer en wordt daarom op de x-as gezet.
Bereken de voortschrijdende bereikwaarde tussen twee opeenvolgende X-gegevenspunten met de volgende formule. Het voortschrijdend bereik mRi wordt op de x-as gezet. De ronde haakjes (| |) staan om de absolute waarde van het cijfer.

Bereken het totale gemiddelde van de afzonderlijke Xi-gegevenspunten. Het gemiddelde van de afzonderlijke X-waarden wordt de middenlijn van het bovenste gedeelte van het diagram.

Bereken het gemiddelde van het voortschrijdende bereik. Het totale gemiddelde van het voortschrijdend bereik wordt de middenlijn van het onderste gedeelte van het diagram.

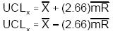
Bereken de boven- en ondergrenzen voor de afzonderlijke X-waarden in het bovenste gedeelte van het diagram. Gebruik daartoe de volgende formule.

Bereken de bovengrens voor het voortschrijdende bereik in het onderste gedeelte van het diagram. Er zijn geen ondergrenzen voor het voorschrijdend bereik. Gebruik de volgende formule.

De hierboven berekende gegevens van XmR voor het opgegeven bereik van testresultaten worden weergegeven in een diagram.
