Xbar - S 管理図を作成するには
管理チャートは、処理を定期的に監視および制御するために使用されます。
チャートの下部プロット領域は、各サンプルの測定値の標準偏差 (S) です。最初に作成される S チャートは、サンプルの変化の統計的な管理を確認します。
Xbar - S 管理図を生成するには、次のステップを実行します。
各サンプルをサブグループとして考えます。各サブグループの測定値の平均を計算します。

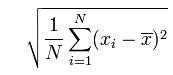
各サブグループの標準偏差 S を計算します。

すべての値の平均値を計算します。すべての値は累積され、値の合計数で除算されます。計算平均値は、チャートの上部プロット領域の中心線となります。
サブグループ範囲の平均を計算します。すべてのサブグループの平均は、チャートの下部プロット領域の中心線になります。
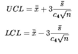
サブグループの平均の UCL と LCL を計算します。次の公式を使用して制限を計算します。これらの正弦は、上部プロット領域にプロットされます。

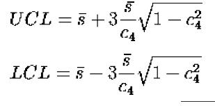
標準偏差の範囲制限は、次の公式を使用して計算されます。これらの制限は、下部プロット領域にプロットされます。


