Creazione di diagrammi di controllo Xbar e S
I diagrammi di controllo vengono utilizzati per monitorare e controllare regolarmente un processo.
L'area del tracciato inferiore del diagramma visualizza lo scostamento standard (S) dei valori misurati per ogni campione. Il diagramma S viene creato per primo per garantire il controllo statistico della variabilità del campione.
Per generare diagrammi di controllo Xbar e S, effettuare le seguenti operazioni:
Considerare ogni campione come sottogruppo. Calcolare la media del valore misurato per ogni sottogruppo.

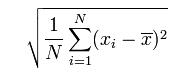
Calcolare lo scostamento standard S per ogni sottogruppo.

Calcolare la media generale di tutti i valori. A tale scopo, sommare tutti i valori e dividerli per il numero totale di valori. La media calcolata diventa la linea centrale dell'area del tracciato superiore del diagramma.
Calcolare la media delle escursioni dei sottogruppi. La media di tutti i sottogruppi diventa la linea centrale dell'area del tracciato inferiore del diagramma.
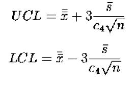
Calcolare il limite di controllo superiore (UCL) e il limite di controllo inferiore (LCL) per le medie dei sottogruppi. Per calcolare i limiti rappresentati nell'area del tracciato superiore, utilizzare la formula riportata di seguito:

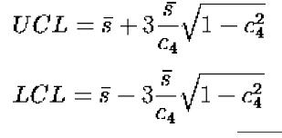
I limiti dell'escursione per gli scostamenti standard, rappresentati nell'area del tracciato inferiore, vengono calcolati in base alla formula riportata di seguito.


