Crear gráficos de control Xbar y S
Los gráficos de control se utilizan para supervisar y controlar regularmente un proceso.
El área de trazado inferior del gráfico muestra la desviación estándar (S) de valores medidos para cada muestra. El gráfico S se crea primero para garantizar el control estadístico de la variabilidad de la muestra.
Para generar unos gráficos de control Xbar y S, realice los pasos siguientes:
Considere cada muestra un subgrupo. Calcula el promedio del valor medido para cada subgrupo.

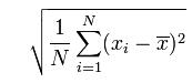
Calcula la desviación estándar S para cada subgrupo.

Calcula la media de todos los valores. Todos los valores deben acumularse y dividirse entre el número total de valores. La media calculada se convierte en la línea central del área de trazado superior del gráfico.
Calcula el promedio de los rangos de subgrupos. El promedio de todos los subgrupos se convierte en la línea central del área de trazado inferior del gráfico.
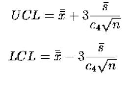
Calcula el límite de control superior y el límite de control inferior para promedios de subgrupos. Utilice las fórmulas siguientes para calcular los límites, que se trazan en el área de trazado superior:

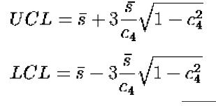
Los límites de rango de las desviaciones estándar se calculan mediante las siguientes fórmulas. Estos límites se trazan en el área de trazado inferior.


