生成物质含量

需要最新的物料物质含量清单,才能执行准确的材料定价计算。 可以生成或人工指定物料物质含量。

  • 使用生成物料物质含量 (tcmpr0220m000) 进程生成物料物质含量

    例如,为物料清单 (BOM) 或产品变型生成物料结构后,可以使用生成物料物质含量 (tcmpr0220m000) 进程生成物料物质含量。 生成基于物料结构中所使用的标准部件或工程模块的现有数量。

    对于装配物料,在产品变型(装配件) (tiapl3500m000) 进程中指定的产品变型结构将用作物料清单。 对于作业车间物料,物料清单 (tibom1110m000) 进程用于相同的目的。

  • 在物料物质含量 (tcmpr0120m000) 进程中人工指定物料物质含量

    对于不含物料结构的物料,无法生成物料物质含量。 必须在物料物质含量 (tcmpr0120m000) 进程中人工指定物质含量。

注意

必须定期为标准物料和工程模块生成物料物质数量。 数量必须可用于这些物料,才能为其它物料(如定制物料)生成物料物质含量。 此外,如果不定期为标准物料和工程模块生成物质含量,则会影响材料价格计算。

根据物料结构的最低层计算物质含量,然后再根据各层针对指定的物料或物料范围对材料编制索引。 物料清单的最低层可以包括人工指定的物质数量。 较高层的物质数量通常由 LN 生成。

以下公式用于计算物质含量:

物质含量 = (所有组件的物质数量 * 净数量) / 物料清单数量 

根据为其生成物质含量的物料,物质含量计算由以下内容确定:

  • 选项清单标识或产品变型定义的可配置采购物料的人工指定物料物质含量。注意: 如果同时定义了这两项,则使用产品变型。
  • 工程模块的物料物质含量。
  • 较低层通用物料或可配置制造物料的物料物质含量。
注意

可以在物料物质含量 (tcmpr0120m000) 进程中查看和更新所生成的物料物质含量数据。 对于更新的或人工指定的物料物质含量,会选中人工复选框。 因此,在重新生成期间不会改写物料物质含量。 只有选中生成物料物质含量 (tcmpr0220m000) 进程中的改写人工和已修改物料物质含量复选框时,才能改写人工指定的物质含量。

日期有效型材料

该材料是特定物料结构的日期有效型材料。 所生成的结果取决于材料有效的期段,以及在生效日期字段中指定的日期(为其生成结果的日期)。 如果为其生成结果的材料在此特定日期对物料未处于活动状态,则不会考虑该材料。

示例: 示例:含有效单元的标准物料

为清单组件生成的物料物质含量

如果必须确定成套件物料的物料物质含量,则该含量基于链接至清单组件 (tcibd3100m000) 进程中的清单组和清单 - 成套件物料组合的物料。

在生成物料物质含量时,LN 会验证组件在生成物料物质含量 (tcmpr0220m000) 进程中指定的生效日期是否有效。 如果所有组件均有效,则相同过程适用于物料清单 (BOM) 物料。 此时将检索最低层,并且结构将累积到主物料。

注意

为装配计划生成物料物质含量的前提条件是必须已为构成装配物料的标准物料生成物料物质含量。

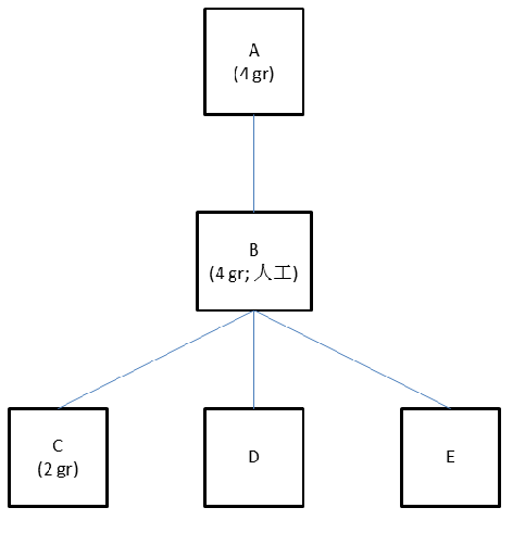
示例:物料结构中人工指定的物质数量

在计算物料物质含量时,物料结构中人工指定的物质数量在使用方式上与从较低物料清单层汇总的数量有所不同。 通过从较低层汇总物质数量生成的数量将由人工指定的数量改写。

生成过程:

[...]

物料清单 (BOM) 结构中,所有数量均为 1(一)。

物料 C 的物质数量由 LN 进行计算。

为物料 B 人工指定的物质数量为 4 克。 因为该数量是人工指定的,所以物料 B 的物质含量将改写为物料 C 计算的数量。因此,如果不存在人工指定的数量,则主物料 A 的物质数量是 4 克物质,而不是 2 克。

示例:不一致性的解决方案

在某些方案中,LN 必须解决在编制索引过程中出现的不一致性。

在此示例中,对于同一主物料,人工指定的物料物质含量存在于物料清单 (BOM) 的不同层。

[...]

在确定物料物质含量时,LN 会首先确定物料清单或产品变型的最低层。 通常在此层人工指定物质含量。 人工指定的物质含量可以存在于物料清单中的不同层。

在此示例中,将找到物料 D 和 B 的人工指定数量。因此,这两个物料都是计算的开始点并指定为零 (0) 层。

物料
D0
B0

 

物料 A 和 C 将添加为第 1 层物料,因为这些物料是零 (0) 层物料的父项。

物料
D0
B0
C1
A1

 

在解决第 1 层物料的父项后,如果第 1 层物料 C 的父项是 B,则 LN 将标识不一致性。LN 会将物料 B 的层从 0 更改为 2 以解决这种不一致性。 作为主物料的 A 没有父项。

物料
D0
C1
A1
B2

 

在第 2 层物料上发生与上一层相同的不一致性。 第 2 层物料 B 的父项是 A。要解决此问题,LN 会将 A 指定为第 3 层物料。

物料
D0
C1
B2
A3

 

A 没有父项,因此算法是完整的。 在正确的层包含所有物料清单物料,并且可以准确地计算物质含量。

示例:含有效单元的标准物料

有效单元标准物料定制物料不同。 有效单元需要完整的物料清单 (BOM) 分解过程,从主物料开始一直到标准物料的最低层。 这是由可在物料清单的任何层定义的例外引起的,这种行为可能导致每个层的材料计数不同。

在这个例子中,物料 E 仅对特定有效单元有效。 在标准配置(有效单元 = 0)中,物料 E 不存在。 如果有效单元处于活动状态,可将物料 E 添加到物料结构,则会为物料 B 和 A 创建物料物质含量记录。

如果未指定有效单元,则主物料的物料物质含量在物料 D 中是 3 克。如果有效单元 23 处于活动状态,则由于作为物料 E 的一部分又添加了 2 克(这仅对此有效单元有效),因此物料物质含量将变为 5。

[...]
白色标准物料清单
灰色对有效单元 23 有效的例外