Geração de conteúdo do material

Listagens de conteúdo de material do item atualizadas são necessárias para realizar cálculos precisos de preço do material. O conteúdo do material do item pode ser gerado ou especificado manualmente.

  • gerar conteúdo do material do item usando a sessão Gerar conteúdo de material de item (tcmpr0220m000)

    Depois da geração das estruturas do item, por exemplo, para uma lista de materiais (BOM) ou uma variante de produto, é possível gerar o conteúdo do material do item usando a sessão Gerar conteúdo de material de item (tcmpr0220m000). A geração é baseada nas quantidades existentes das peças padrão ou módulos de engenharia usados na estrutura do item.

    Para itens de montagem, a estrutura da variante de produto especificada na sessão Variantes de produto (Montagem) (tiapl3500m000) é usada como a BOM. Para itens de produção por encomenda, a sessão Lista de material (tibom1110m000) é usada para o mesmo fim.

  • especificar manualmente o conteúdo do material do item na sessão Conteúdo de material de item (tcmpr0120m000)

    Para itens sem uma estrutura de item, não é possível gerar o conteúdo do material do item. É preciso especificar manualmente o conteúdo do material na sessão Conteúdo de material de item (tcmpr0120m000).

Nota

Você deve gerar regularmente quantidades de material do item para itens padrão e módulos de engenharia. As quantidades devem estar disponíveis para esses itens antes de o conteúdo do material do item poder ser gerado para outros itens, como itens personalizados. Além disso, se o conteúdo do material não for gerado regularmente para itens padrão e módulos de engenharia, os cálculos de preço do material são afetados.

O conteúdo do material é calculado com base no menor nível da estrutura de item após o que um material é indexado para o item especificado ou intervalo de itens com base em níveis. Os níveis mais baixos da BOM podem incluir quantidades de material especificadas manualmente. As quantidades de material nos níveis mais altos normalmente são geradas pelo LN.

A fórmula a seguir é usada para calcular o conteúdo do material:

Conteúdo de material = (quantidade de material de todos os componentes * quantidade líquida)/Quantidade da BOM 

Com base no item para o qual o conteúdo do material é gerado, o cálculo de conteúdo do material é determinado por:

  • o conteúdo do material do item especificado manualmente dos itens comprados configuráveis, definido para o ID da lista de opções ou a variante de produto. Nota: Se ambos estiverem definidos, a variante do produto será usada.
  • o conteúdo do material do item dos módulos de engenharia.
  • o conteúdo do material do item do nível mais baixo de itens genéricos ou itens fabricados configuráveis.
Nota

Os dados do conteúdo do material do item gerado podem ser visualizados e atualizados na sessão Conteúdo de material de item (tcmpr0120m000). Para o conteúdo do material do item especificado manualmente, a caixa de seleção Manual é selecionada. Como consequência, o conteúdo de material do item não é substituído durante a regeneração. O conteúdo do material especificado manualmente poderá ser substituído somente se a caixa de seleção Sobrescrever conteúdo material item modificado e manual for selecionada na sessão Gerar conteúdo de material de item (tcmpr0220m000).

Material com data de efetividade

Um material tem uma data de efetividade para uma estrutura de item específica. Os resultados gerados dependem do período em que o material é efetivo, além da data especificada no campo Data de efetividade (a data para a qual os resultados são gerados). Se o material para o qual os resultados são gerados não estiver ativo para um item na data específica, o material não é considerado.

Exemplo: Exemplo: Itens padrão com unidades de efetividade

Conteúdo do material do item gerado para componentes da lista

Se o conteúdo do material do item de um item de kit precisar ser determinado, o conteúdo é baseado nos itens vinculados ao grupo de listas e à combinação de lista e item de kit na sessão Componentes de lista (tcibd3100m000).

Ao gerar o conteúdo do material do item, o LN verifica se os componentes são efetivos na Data de efetividade especificada na sessão Gerar conteúdo de material de item (tcmpr0220m000). Se todos os componentes forem efetivos, será aplicado o mesmo procedimento que para um item da lista de material (BOM). O nível mais baixo é recuperado e a estrutura é implantada para o item principal.

Nota

Um pré-requisito para a geração do conteúdo do material do item para planejamento de montagem é que o conteúdo do material do item seja gerado para os itens padrão que compõem os itens de montagem.

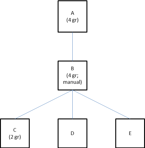
Exemplo: Quantidades de material especificadas manualmente na estrutura do item

Ao calcular o conteúdo do material do item, quantidades de material especificadas manualmente na estrutura do item são usadas de modo diferente das quantidades agregadas dos níveis mais baixos da BOM. As quantidades geradas agregando quantidades de material dos níveis mais baixo são substituídas pelas quantidades especificadas manualmente.

Processo de geração:

[...]

Na estrutura lista de material (BOM), todas as quantidades são 1 (um).

A quantidade de material para o item C é calculada por LN.

A quantidade de material especificada manualmente para o item B é de 4 gramas. Uma vez que a quantidade é especificada manualmente, o conteúdo do material do item B substitui a quantidade calculada para o item C. Portanto, a quantidade de material para o item principal A é de 4 gramas de material, em vez de 2 gramas, caso a quantidade especificada manualmente não estiver presente.

Exemplo: resolução de inconsistências

Em alguns cenários, o LN deve resolver inconsistências encontradas durante a indexação.

Neste exemplo, o conteúdo de material do item especificado manualmente existe em diferentes níveis de uma lista de material (BOM) para o mesmo item principal.

[...]

Ao determinar o conteúdo do material do item, o LN primeiro determina o menor nível da BOM ou da variante de produto. O conteúdo do material costuma ser especificado manualmente nesse nível. Conteúdo de material especificado manualmente pode existir em diferentes níveis da BOM.

Neste exemplo, quantidades especificadas manualmente são encontradas para os itens D e B. Portanto, ambos os itens são um ponto de partida para o cálculo e designados como nível zero (0).

ItemNível
D0
B0

 

Os itens A e C são adicionados como itens de nível 1 porque eles são os pais dos itens no nível zero (0).

ItemNível
D0
B0
C1
A1

 

Quando os pais dos itens de nível 1 forem resolvidos, o LN identifica uma inconsistência se o pai do item C de nível 1 for B. O LN altera o nível do item B de 0 para 2 para resolver essa inconsistência. A, sendo o item principal, não tem um pai.

ItemNível
D0
C1
A1
B2

 

A mesma inconsistência que no nível anterior ocorre com o item de nível 2. O pai do item B de nível 2 é A. Para resolver isso, o LN designa A como o item de nível 3.

ItemNível
D0
C1
B2
A3

 

A não tem pais e, portanto, o algoritmo está completo. Todos os itens da BOM estão incluídos no nível correto e o conteúdo do material pode ser calculado com precisão.

Exemplo: Itens padrão com unidades de efetividade

Um item padrão com uma unidade de efetividade é diferente de um item personalizado. Uma unidade de efetividade requer uma explosão da lista de materiais (BOM) a partir do item principal até os níveis mais baixos dos itens padrão. Isso se deve a exceções que podem ser definidas em qualquer nível da BOM, o que pode levar a uma contagem de material diferente em cada nível.

No exemplo, o item E é válido somente para uma unidade de efetividade específica. Na configuração padrão (unidade de efetividade = 0), o item E não existe. Os registros de conteúdo do material do item são criados para os itens B e A, se houver uma unidade de efetividade ativa que adicione o item E à estrutura do item.

Se uma unidade de efetividade não tiver sido especificada, o conteúdo do material do item para o item principal será de 3 gramas no item D. Se a unidade de efetividade 23 estiver ativa, o conteúdo do material do item irá tornar-se 5 devido à adição de 2 gramas que fazem parte do item E, que é válido somente para essa unidade de efetividade.

[...]
BrancoBOM padrão
CinzaExceção válida para a unidade de efetividade 23