Exemplo de média ponderada do nível de estoque

O estoque médio projetado de um item de planejamento é um dos indicadores de performance do módulo Análise e otimização de recursos do Planejamento empresarial. O LN o calcula como a média ponderada dos níveis de estoque médios encontrados para os vários períodos de planejamento. A média é uma média ponderada em que é incluída a duração de cada período de planejamento.

Exemplo

Estoque disponível = 10

Período de planejamento123
Duração do período de planejamento (dias)225
Estoque projetado (final)203099
Nível médio de estoque152564,5

 

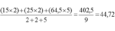
Nesse exemplo, o nível médio de estoque ponderado para todos os períodos de planejamento é calculado da seguinte forma:

[...]