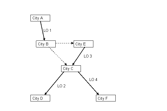
Example of means of transport selection
The following diagram shows the loading and unloading addresses
and the loads that are used in this example.
![[...]](../images/om000045_1.gif)
In the following tables, MOT is the abbreviation of means of
transport.
Loads after Planning
| Plan | Load | From- address | To- address | Start date | End date | MOT | Actual |
| P01 | L01 | City A | City B | 08:30 | 11:00 | | No |
| P02 | L02 | City C | City D | 12:00 | 14:00 | | No |
| P03 | L03 | City E | City C | 11:30 | 12:00 | | No |
| L04 | City C | City F | 12:30 | 15:00 | M100 | No |
The distance between city B and city E is 50 km.
The distance between city B and city C is 75 km.
Means of Transport
| MOT | Calendar | Average speed of TMG (km/hr) |
| M100 | CAL01 | 60 |
| M200 | CAL02 | 90 |
The means of transport have the same carrier and transport
means group as the loads.
CAL01: Available from 9:00 – 17:00.
CAL02: Available from 8:00 – 18:00.
Assign means of transport to loads
To assign means of transport to loads, the following procedure
is carried out:
- Load L01: M100 is not available at 8:30 according to Calendar
CAL01. M200 is available from 8:30 –11:00 according to Calendar CAL02.
- Plan P01 is made Actual.
- Load L02: M100 is already assigned to L04 from 12:30 – 15:00.
M200 is still available from 11:00 – 18:00. M200 can also travel the distance
from City B (end address L01) to City C (start address L02) in 00:50 (75 km /
90 km/hr).
- Plan P02 is made Actual.
- Load L03: Both M100 and M200 are available from 11:30 – 12.00.
Because M100 is already present in Plan P03, M200 is tried first. M200 also
loads in City C at 12:00. This is no problem because this is the same time as
the end date of L03 at the same address. If M200 is planned for L03, it must be
able to reach City E at 11:30 from City B because of the earlier Load L01. M200
has 00:30 available between City B and City E. M200 needs 00:33 (50 km / 90
km/hr) to travel the distance and cannot reach City E in time. M100 is now
used.
- Plan P03 is not yet made Actual.
Loads after assigning means of transport
| Plan | Load | From- address | To- address | Start date | End date | MOT | Actual |
| P01 | L01 | City A | City B | 08:30 | 11:00 | M200 | Yes |
| P02 | L02 | City C | City D | 12:00 | 14:00 | M200 | Yes |
| P03 | L03 | City E | City C | 11:30 | 12:00 | M100 | No |
| L04 | City C | City F | 12:30 | 15:00 | M100 | No |
Means of transport calendar
| MOT | Start date | End date | Load | Availability reason |
| M100 | 17:00 | 09:00 | | Actual calendar |
|---|
| 11:30 | 12:00 | L03 | Planned load |
| 12:30 | 15:00 | L04 | Planned load |
| 17:00 | 09:00 | | Actual calendar |
| M200 | 18:00 | 08:00 | | Actual calendar |
|---|
| 08:30 | 11:00 | L01 | Actual load |
| 11:10 | 12:00 | | Travel time |
| 12:00 | 14:00 | L02 | Actual load |
| 18:00 | 08:00 | | Actual calendar |