Para criar gráficos de controle X-bar e R

Os gráficos de controle são usados para monitorar e controlar regularmente um processo.

Essa combinação de gráficos é usada quando a característica de interesse do tamanho da amostra é estável, fixa e está entre 2 e 15 unidades. A área de plotagem superior do gráfico é o valor médio medido (X-bar) por amostra e o eixo X representa o tempo. A área de plotagem inferior do gráfico exibe o intervalo (R) de valores medidos para cada amostra. O gráfico R criado primeiro é revisado para garantir o controle estatístico da variabilidade da amostra. O gráfico X-bar é exibido na parte superior da tela e o gráfico R, na parte inferior.

Para gerar gráficos de controle X-bar e R, execute os seguintes passos:

Para ordens de inspeção cuja característica de item é um tamanho de amostra estável, é preciso considerar cada amostra individual como um subgrupo.

Calcule a média dos valores medidos para cada subgrupo.

[...]

Calcule o intervalo dos valores medidos de cada subgrupo:

Intervalo (subgrupo) = Maior valor medido (subgrupo) - Menor valor medido
		  (subgrupo)

Calcule a média da média de cada subgrupo. A média da média de cada subgrupo é a linha central da área de plotagem superior do gráfico.

[...]

Calcule a média do subgrupo de Intervalos. A média de todos os subgrupos é a linha central da área de plotagem inferior do gráfico.

[...]

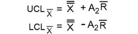
Calcule UCL e LCL para médias de subgrupos. Use a seguinte fórmula para calcular os limites plotados na área de plotagem superior:

[...]

Os limites acima são calculados com base no valor de A2 (a partir de Fatores de Limites de controle) para o tamanho de subgrupo (amostra) correspondente N. Caso o tamanho da amostra não seja constante, para determinar o tamanho médio da amostra, utilize esse como entrada para determinar o valor de A2. Quando o tamanho da amostra (média) for superior a 15 unidades, os limites de controle não serão calculados e uma advertência será exibida nos gráficos.

Os limites de intervalo são calculados usando os valores de D3 e D4 para o tamanho de subgrupo correspondente N. Esses limites são plotados na área de plotagem superior. Calcule os limites de controle para Intervalos usando esta fórmula:

[...]
[...]
[...]