Creazione di diagrammi di controllo Xm e R

I diagrammi di controllo vengono utilizzati per monitorare e controllare regolarmente un processo.

Questa combinazione di diagrammi viene utilizzata quando la caratteristica relativa alla dimensione del campione di interesse è dinamica e variabile. Il diagramma XmR analizza ogni campione ed è una combinazione di due diagrammi. Il diagramma X "per individui" viene visualizzato nella parte superiore dello schermo, mentre il diagramma "escursione mobile" viene visualizzato nella parte inferiore.

L'area del tracciato superiore del diagramma visualizza i valori misurati di tutte le istanze all'interno di un campione, mentre l'asse X rappresenta la dimensione tempo. L'area del tracciato inferiore del diagramma visualizza la variazione mobile/escursione (R) dei valori misurati rispetto alla misurazione precedente.

Generazione del diagramma

Ogni valore misurato di un campione viene tracciato come punti X individuali. Considerato che Xi rappresenta il valore misurato di un campione individuale, i valori Xi individuali vengono tracciati sull'asse X.

Calcolare i valori dell'escursione mobile tra due punti dati Xi successivi utilizzando la formula riportata di seguito. Il valore mRi dell'escursione mobile viene tracciato sull'asse X. Le parentesi (| |) rappresentano il valore assoluto del numero tra esse racchiuso.

[...]

Calcolare la media generale dei punti dati Xi individuali. La media dei valori X individuali diventa la linea centrale del tracciato superiore.

[...]

Calcolare la media delle escursioni mobili. La media totale di tutte le escursioni mobili diventa la linea centrale dell'area del tracciato inferiore.

[...]

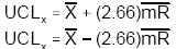
Calcolare i limiti di controllo superiore e inferiore per i valori X individuali nell'area del tracciato superiore. Per il calcolo utilizzare la formula riportata di seguito:

[...]

Calcolare il limite di controllo superiore per le escursioni mobili nell'area del tracciato inferiore. Per le escursioni mobili non esiste un limite di controllo inferiore. Per il calcolo utilizzare la formula riportata di seguito.

[...]
Nota

I dati sopra calcolati di XmR per l'intervallo dato di risultati del test verranno visualizzati in un oggetto diagramma.

[...]