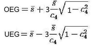
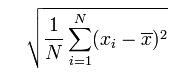
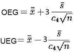
Erstellen von XbarS-KartendiagrammenKartendiagramme werden verwendet, um einen Prozess regelmäßig zu überwachen und zu kontrollieren. Im unteren Plotting-Bereich des Diagramms wird die Standardabweichung (S) der gemessenen Werte für jede Stichprobe angezeigt. Das S-Diagramm wird zuerst erstellt, um die statistische Kontrolle des Stichprobenvariators sicherzustellen. Gehen Sie folgendermaßen vor, um ein XbarS-Kartendiagramm zu generieren: Berücksichtigen Sie jede Stichprobe als Untergruppe. Berechnen Sie den Durchschnitt der gemessenen Werte für jede Untergruppe. ![]() Berechnen Sie die Standardabweichung S für jede Untergruppe. ![]() Berechnen Sie den Durchschnitt aller Werte. Alle Werte müssen kumuliert und dann durch die Gesamtzahl der Werte dividiert werden. Der berechnete Durchschnitt bildet den zentralen Wert für den oberen Plotting-Bereich des Diagramms. Berechnen Sie den Durchschnitt der Bereiche für jede Untergruppe. Der Durchschnitt aller Untergruppen bildet den zentralen Wert für den unteren Plotting-Bereich des Diagramms. Berechnen Sie die obere und die untere Eingriffsgrenze für die Durchschnitte der Untergruppen. Berechnen Sie die im oberen Plotting-Bereich geplotteten Grenzen anhand der folgenden Formel: ![]() Die Bereichsgrenzen für die Standardabweichungen werden anhand der folgenden Formel berechnet. Diese Grenzen werden im unteren Plotting-Bereich geplottet. ![]() ![]() ![]()
| |||