创建 Xm 和 R 控制图表

控制图表用来定期地监视和控制过程。

该图表组合用在关注样品数量的特性为更加动态和变化的情况。 XmR 图表可分析每个样品,且为两个图表的组合;在屏幕的上半部分显示单个 X 图表,在屏幕的下半部分显示的是移动“范围”图表。

图表的上部绘图区用表示时间维度的 X 轴显示样品中所有实例的测量值。 图表的下部绘图区显示与以前测量相比,测量值的移动分布/范围 (R)。

生成图表

每个样品的测量值按单独 X 点绘制。 如果考虑用 Xi 表示各个样品的测量值,则就就把每个 Xi 值绘制在 X 轴上。

可使用下列公式计算两个连续 Xi 数据点之间的“移动范围”值。 把“移动范围”mRi 绘制在 X 轴上。 括号 (| |) 表示括号中数字的绝对值。

[...]

计算各个 Xi 数据点的总平均值。 各个 X 值的平均值就成为上部绘图区的中线。

[...]

计算移动范围内的平均值。 所有移动范围内的总平均值就成为下部绘图区的中线。

[...]

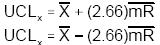
计算上部绘图区各个 X 值的控制上下限。 请使用下列公式计算。

[...]

计算上部绘图区移动范围的控制上限。 移动“范围”没有控制下限。 请使用下列公式:

[...]
注意

会把上面计算得到的指定的检测结果范围内的 XmR 数据将显示在图表对象中。

[...]