创建 Xbar 和 S 控制图表

控制图表用来定期地监视和控制过程。

图表的下部绘图区为每个样品测量值的标准偏差 (S)。 首先创建 S 图表,可确保样品变化的统计控制。

要生成 Xbar 和 S 控制图表,请完成以下步骤:

将每个样品视为子组。 计算每个子组测量值的平均值。

[...]

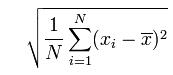
计算每个子组的标准偏差 S。

[...]

计算所有值的均值。 对所有这些值求和然后除以这些值的总个数。 计算得到的均值就成为图表的上部绘图区的中线。

计算子组范围内的平均值。 所有子组的平均值为图表的下部绘图区的中线。

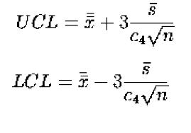
计算子组平均值的 UCL 和 LCL。 使用下列公式计算这些限制,这些限制都绘制在上部绘图区内:

[...]

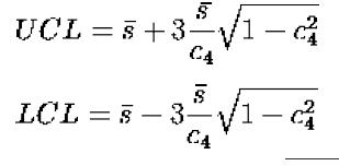
使用下列公式计算标准偏差的范围限制。 这些限制都绘制在下部绘图区。

[...]
[...]
[...]