Для создания гистограммы распределения

Распределение гистограммы используются для уточнения варианта отображения стандартной Кривой распределения измеренных значений для изделия.

Для начертания этой карты вы должны выбрать комбинацию изделие или изделие/ поставщик, источник заказа на контроль, аспект/ хапактеристика также соответствующий временной период. Этот график основан только на фактические результаты осмотра.

Центральная лирния кривой распределения является LN рассчитанного среднего (µ). Под/над пределом толерантности процесса являются границы, в пределах которых процесс способен производить запчасти приемлемого качества. Эти пределы отклонения выражаются в общем процесс означает плюс или минус 3 стандартных отклонения (σ), что может захватить 95% нормальной дисперсии распространения.

Чтобы построить такой тип диаграммы, выполните следующие действия:

  1. Вычисления измеренного значения для диапазона периодов.
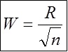
  2. Определить распространение R измеренных значений: R = Xmax – Xmin
  3. Определить класс ширины: W = R / SQRT (Число для измерений)
  4. Создание классифицируются: Класс 1 Нижний допуск (или Xmin в : . case Xmin < Нижний допуск) тогда Класс 2 = Класс 1 + W и так далее
  5. Заполнить классов на основе измеренных значений. Определить частоты в пределах каждого класса.
  6. Вычисления арифметического среднего из измеренных значений.
  7. Рассчитать Стандартное отклонение Н для каждой подгруппы.
  8. Участок гистограммы на основе классов рассчитана.
Пример

Предположим, что 5 заказов на контроль обрабатываются, каждый с 1 пробы, в результате чего один образец группы для каждого заказа. Все 5 Заказы на контроль имеют Размер пробы для 10 штук и Объем теста для 1 штуки. Следующие результаты отображаются в тестовой таблицы данных:

Группа пробЧисло пробЗначение
111
121
131. 002
140.997
151
161.001
171
181
1091
1100.999
211
220
230
240
250
260
270
280
2090
2100
311.001
321
330.9
340.988
351.001
361.004
370.999
380.989
3091.012
3101.03
411.001
421
430.9
440.988
451.001
461.004
470.999
480.989
4091.012
4101.03
511.001
521
530.9
540.988
551.001
561.004
570.999
580.989
5091.012
5101.03

 

Рассчитать распространение

Определить распространение R измеренных значений: Высшее значение величины 1.03 (Группа проб 1, Чсло проб 10). Высшее значение величины 0.9 (Группа проб 1, Чсло проб 3).

[...]
Распространение = 1,03 - 0,9 = 0,13
Определить класс ширины:
[...]

Класс ширина - . 0,13 / √50 = 0,02055480479109446565799280803881. Это значение округляется до 0,02.

Создание классифицируются:

Класс 1 Нижний допуск (или Xmin в : . case Xmin < Нижний допуск) тогда Класс 2 = Класс 1 + W и так далее Следующие классы создаются:

10.900000
20.920000
30.940000
40.960000
50.980000
61 000 000
71 000 000

 

Создание классифицируются:

Значения измерений могут быть сгруппированы в класс, если значение больше или равно значения класса, и меньше, чем значение класса + класс ширине. Результат:

КлассЧисло проб
11
20
30
40
512
636
71

 

Рассчитать распространение

Для каждого измерения, разница, среднее значение вычисляется и квадрата разницы добавляется вместе. Если первая проба номер измерения значение 1:

(1 - 0 995 850)² = (0,00415)² = 0,0000172225

Квадрат разности вычисляются и суммируются для формирования общей площади разница. Для примера, сумма 1.311734.

Среднее= Стандартное отклонение: - √ 1.311734 /
		  50 = 0.160000
Участок диаграммы

Следующий рисунок отображает диаграмму нанесены с выше данных:

[...]

По оси X-характеристики устройства отображается. Однако возможно, что для конкретной стандартной процедуре тестирования или проверки в строке заказа измерения значение выражается в другой квартире, которая позже преобразуется к характеристике блока.