Создание диаграмм Xbar и R контроль

Контрольные диаграммы используются для того, чтобы регулярно отслеживать и контролировать процесс.

Это сочетание диаграммы используются там, где характеристика объектов выборки с постоянным, стабильным и от 2 до 15 штук. В Xbar Диаграмма отображается в верхней части экрана и R Диаграмма отображается в нижней части экрана.

В верхней области построения диаграммы отображает измеренные значения во всех судебных инстанциях, в образце с x-оси, представляющей измерения времени. Нижней области построения диаграммы отображает перемещение распространения/Радиус действия (R) измеренных значений относительно предыдущего измерения.

Для создания диаграммы

Каждого образца, измеренное значение отображается на графике как отдельных точек X. Учитывая Xi представляет измеренное значение конкретного образца, индивидуальный Xi значения изображаются в виде графика, на оси абсцисс.

Вычисления скользящего диапазона значений между двумя последовательными Xi точки данных, используя следующую формулу. Движущиеся спектр МРТ, нанесенные на оси абсцисс. Скобки (| |) представляют абсолютное значение числа внутри скобок.

[...]

Рассчитать средний отдельных Xi точек данных. Среднее отдельных значений X становится осевой линии на верхнем участке.

[...]

Вычислить среднее значение перемещения диапазонов. Среднее значение всех подгрупп является осевой линии для нижней области построения диаграммы.

[...]

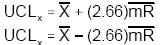
Рассчитать верхний и нижний контрольные пределы для отдельных значений X для верхнего область построения диаграммы. Используйте следующую формулу для вычисления.

[...]

Рассчитать верхний предел регулирования движения диапазоны для нижней области построения. Существует нижний предел управления для перемещения диапазонов. Используйте следующую формулу для вычисления.

[...]
Примечание

Примечание Рассчитанные выше данные XmR для данного диапазона результатов теста будут отображены по карте объекта.

[...]