Создание диаграмм Xbar и R контроль

Контрольные диаграммы используются для того, чтобы регулярно отслеживать и контролировать процесс.

Нижней области построения диаграммы-это стандартное отклонение (S) измеренных значений для каждого образца. R-Диаграмма, на которой создается первое пересматривается для обеспечения статистического контроля изменчивость выборки.

Для создания Xbar и R контрольных диаграмм, выполните следующие действия:

Рассмотрим каждый пример в качестве подгруппы. Вычисление среднего из измеренных значений для каждой подгруппы

[...]

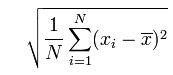
Рассчитать Стандартное отклонение Н для каждой подгруппы.

[...]

Вычислить среднее арифметическое всех значений. Все значения должны быть совмещены и делится на общее количество значений. Расчитанное значит становится центром линии для верхней области построения диаграммы.

Вычислить среднее диапазонов подгруппы. Среднее значение всех подгрупп является осевой линии для нижней области построения диаграммы.

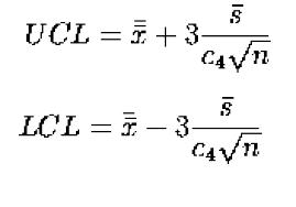
Рассчитать UCL и LCL для средних значений подгрупп. Используйте следующую формулу для вычисления пределов, нанесенные в верхней области построения:

[...]

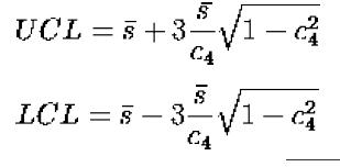
В границы диапазона стандартного отклонения рассчитываются с использованием следующих формул. Эти пределы укладываются в нижнюю область построения диаграммы.

[...]
[...]
[...]