Materiaalgehalte genereren

Voor het uitvoeren van nauwkeurige materiaal prijsberekeningen zijn up-to-date listings van materiaalgehalten van artikelen nodig. Het materiaalgehalte van een artikel kan automatisch worden gegenereerd of handmatig worden opgegeven.

  • Het materiaalgehalte van een artikel genereren met behulp van de sessie Materiaalgehalte artikel genereren (tcmpr0220m000)

    Nadat u artikelstructuren hebt gegenereerd, bijvoorbeeld voor een stuklijst (BOM) of een productvariant, kunt u het materiaalgehalte van het artikel genereren met behulp van de sessie Materiaalgehalte artikel genereren (tcmpr0220m000). Het genereerproces gaat uit van de bestaande hoeveelheden van de gebruikte standaardonderdelen of engineering-modules in de artikelstructuur.

    Bij assemblageartikelen wordt als stuklijst de opgegeven productvariantstructuur in de sessie Productvarianten (assemblage) (tiapl3500m000) gebruikt. Bij productieartikelen wordt voor datzelfde doel de sessie Stuklijst (tibom1110m000) gebruikt.

  • Het materiaalgehalte van een artikel handmatig opgeven in de sessie Materiaalgehalte artikel (tcmpr0120m000)

    Voor artikelen zonder een artikelstructuur kunt u het materiaalgehalte niet genereren. U moet het materiaalgehalte handmatig opgeven in de sessie Materiaalgehalte artikel (tcmpr0120m000).

NB

U moet regelmatig materiaalhoeveelheden genereren voor standaardartikelen en engineering-modules. Hoeveelheden voor deze artikelen moeten beschikbaar zijn voordat er materiaalgehalten voor andere artikelen, zoals klantspecifieke artikelen, kunnen worden gegenereerd. Indien u niet regelmatig materiaalgehalten voor standaardartikelen en engineering-modules genereert, is dat van invloed op de berekening van materiaalprijzen.

Het materiaalgehalte wordt berekend op basis van het laagste niveau van de artikelstructuur waarop een materiaal wordt geïndexeerd voor het opgegeven artikel of artikelbereik op basis van niveaus. De laagste niveaus van de stuklijst kunnen handmatig opgegeven materiaalhoeveelheden bevatten. De materiaalhoeveelheden op de hogere niveaus worden gewoonlijk gegenereerd door LN.

Het materiaalgehalte wordt berekend met de volgende formule:

Materiaalhoeveelheid van alle componenten * nettohoeveelheid
------------------------------------------------------------ = materiaalgehalte artikel
                 stuklijsthoeveelheid 

Afhankelijk van het artikel waarvoor het materiaalgehalte wordt gegenereerd, wordt het materiaalgehalte berekend op basis van:

  • Het handmatig opgegeven materiaalgehalte van de configureerbare inkoopartikelen die zijn gedefinieerd voor de optielijst-ID of de productvariant. NB: Als beide zijn gedefinieerd, wordt de productvariant gebruikt.
  • Het materiaalgehalte van het artikel in de engineering-modules.
  • Het materiaalgehalte van de generieke artikelen of configureerbare maakartikelen op de lagere niveaus.
Datumafhankelijk materiaal

Een materiaal is datumafhankelijk voor een specifieke artikelstructuur. De gegenereerde resultaten zijn afhankelijk van de periode waarin een materiaal geldig is, in combinatie met de datum die is opgegeven in het veld Ingangsdatum (de datum waarvoor resultaten worden gegenereerd). Als het materiaal waarvoor resultaten worden gegenereerd niet actief is voor een artikel op deze specifieke datum, wordt het materiaal genegeerd.

Voorbeeld: Voorbeeld: Standaardartikelen met effectivity units

Materiaalgehalten van artikelen die worden gegenereerd voor lijstcomponenten

Als het materiaalgehalte van een kit artikel moet worden bepaald, wordt het gehalte berekend op basis van de artikelen die zijn gekoppeld aan de combinatie van lijstgroep, lijst en kitartikel in de sessie Lijstcomponenten (tcibd3100m000).

Bij het genereren van materiaalgehalten van artikelen, controleert LN of de componenten geldig zijn op de Ingangsdatum die is opgegeven in de sessie Materiaalgehalte artikel genereren (tcmpr0220m000). Als alle componenten geldig zijn, is dezelfde procedure van toepassing als voor een artikel van een stuklijst (BOM). Het laagste niveau wordt opgehaald en de structuur wordt getotaliseerd tot aan het niveau van het hoofdartikel.

NB

Vóór het genereren van materiaalgehalten van artikelen voor assemblageplanning moeten de materiaalgehalten van de standaardartikelen waaruit de assemblageartikelen bestaan, al zijn gegenereerd.

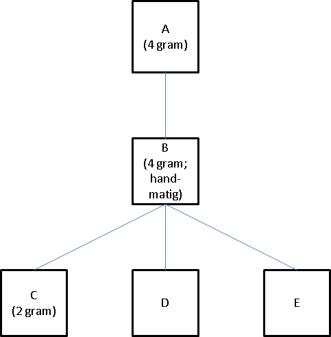
Voorbeeld: Handmatig opgegeven materiaalhoeveelheden in de artikelstructuur

Bij het berekenen van materiaalgehalten van artikelen, worden handmatig opgegeven materiaalhoeveelheden in de artikelstructuur anders gebruikt dan de hoeveelheden die zijn geaggregeerd uit de lagere stuklijstniveaus. De hoeveelheden die zijn gegenereerd door aggregatie van materiaalhoeveelheden uit de lagere niveaus, worden overschreven door de handmatig opgegeven hoeveelheden.

Genereerproces:

[...]

In de structuur van de stuklijst (BOM) zijn alle hoeveelheden 1 (één).

De materiaalhoeveelheid voor artikel C wordt berekend door LN.

De handmatig opgegeven materiaalhoeveelheid voor artikel B is 4 gram. Omdat de hoeveelheid handmatig is opgegeven, wordt de berekende hoeveelheid voor artikel C overschreven door het materiaalgehalte van artikel B. Het materiaalgehalte voor hoofdartikel A is 4 gram, in plaats van 2 gram, als er geen handmatig opgegeven hoeveelheid is.

NB

De gegevens van de gegenereerde materiaalgehalten van artikelen kunnen worden opgevraagd en bijgewerkt in de sessie Materiaalgehalte artikel (tcmpr0120m000). Voor artikelen waarvan het materiaalgehalte is bijgewerkt of handmatig is opgegeven, is het selectievakje Handmatig ingeschakeld. Als u het materiaalgehalte van artikelen opnieuw genereert, wordt het materiaalgehalte van die (bijgewerkte of handmatig opgegeven) artikelen niet overschreven. De materiaalgehalten die handmatig zijn opgegeven, kunnen alleen worden overschreven als het selectievakje Handmatige en gewijzigde materiaalgehalten artikelen overschrijven in de sessie Materiaalgehalte artikel genereren (tcmpr0220m000) is ingeschakeld.

Voorbeeld: Oplossing van inconsistenties

In sommige gevallen moeten inconsistenties die tijdens het indexeren door LN zijn aangetroffen, worden opgelost.

In dit voorbeeld zijn er handmatig materiaalgehalten opgegeven op verschillende niveaus van een stuklijst (BOM) voor hetzelfde hoofdartikel.

[...]

Om het materiaalgehalte van een artikel te bepalen, bepaalt LN eerst het laagste niveau van de stuklijst of de productvariant. Het materiaalgehalte wordt gewoonlijk handmatig opgegeven op dit niveau. Handmatig opgegeven materiaalgehalten kunnen voorkomen op verschillende niveaus in de stuklijst.

In dit voorbeeld worden er handmatig opgegeven hoeveelheden gevonden voor artikel D en B. Beide artikelen vormen daarom een beginpunt voor de berekening en worden aangeduid als niveau nul (0).

ArtikelNiveau
D0
B0

 

Artikel A en C worden toegevoegd als artikelen op niveau 1, omdat die de parent-artikelen van de artikelen op niveau nul (0) zijn.

ArtikelNiveau
D0
B0
C1
A1

 

Bij het analyseren van de parent-artikelen van de artikelen op niveau 1 identificeert LN een inconsistentie als artikel B het parent-artikel van artikel C op niveau 1 is. LN wijzigt het niveau van artikel B van 0 in 2 om deze inconsistentie op te lossen. Artikel A, het hoofdartikel, heeft geen parent-artikel.

ArtikelNiveau
D0
C1
A1
B2

 

Dezelfde inconsistentie als op het vorige niveau doet zich voor bij het artikel op niveau 2. Het parent-artikel van artikel B op niveau 2 is artikel A. Om dit op te lossen, wijzigt LN het niveau van artikel A in niveau 3.

ArtikelNiveau
D0
C1
B2
A3

 

Artikel A heeft geen parent-artikelen en daarmee is het algoritme voltooid. Alle stuklijstartikelen zijn opgenomen op het juiste niveau en het materiaalgehalte van elk artikel kan nu nauwkeurig worden berekend.

Voorbeeld: Standaardartikelen met effectivity units

Een standaardartikel met een effectivity unit is niet hetzelfde als een klantspecifiek artikel. Voor een effectivity unit is een volledige desaggregatie van de stuklijst (BOM) vereist, vanaf het hoofdartikel tot en met de laagste niveaus van de standaardartikelen. Dit komt doordat er op elk niveau van de stuklijst uitzonderingen kunnen worden gedefinieerd, die per niveau tot een andere materiaaltelling kunnen leiden.

In het voorbeeld is artikel E alleen geldig voor een specifieke effectivity unit. In de standaardconfiguratie (effectivity unit = 0) komt artikel E niet voor. Er worden materiaalgehalterecords aangemaakt voor artikel B en artikel A, als er een effectivity eenheid actief is die artikel E aan de artikelstructuur toevoegt.

Als er geen effectivity unit is opgegeven, is het materiaalgehalte voor het hoofdartikel 3 gram in artikel D. Als effectivity unit 23 actief is, wordt het materiaalgehalte van het artikel 5 gram, door toevoeging van de 2 gram van artikel E, dat alleen geldig is voor deze effectivity unit.

[...]
WitStandaardstuklijst
GrijsUitzondering voor effectivity unit 23