分布ヒストグラムを作成するには

分布ヒストグラムは、品目の測定値の標準分布曲線を表示して、変異を確認するために使用されます。

このチャートをプロットするには、品目または品目/発注先、検査オーダソース、様相/特徴、関連する期間の組合せを選択する必要があります。このチャートは、実際の検査結果にのみ基づきます。

分布曲線の中心線は、LN の計算平均値 (µ) です。処理の上位/下位許容限界は、処理が承認可能品質の部品を生成できる限界です。これらの許容限界は通常、処理平均値に、標準変化範囲の 95 パーセントをカバーできる 3 つの標準偏差 (σ) を加算または減算して表現されます。

このタイプのチャートをプロットするには、次のステップを完了します。

  1. 期間範囲の測定値を計算します。
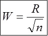
  2. 測定値の範囲 R を決定します: R = Xmax – Xmin
  3. クラスの幅を決定します: W = R / SQRT (測定数)
  4. クラスを作成します: クラス 1 許容範囲下限 (Xmin < 許容範囲下限の場合は Xmin)、次に Class2 = Class1 + W など
  5. 測定に基づいてクラスに値を入力します。各クラス内の頻度を決定します。
  6. 測定値の算術平均値を計算します。
  7. 標準偏差を計算します。
  8. 計算されたクラスに基づいてヒストグラムをプロットします。

それぞれ 1 つのサンプルを持つ 5 つの検査オーダが処理され、オーダごとに 1 つのサンプルグループが生成されるとします。5 つの検査オーダにはすべて、10 個のサンプルサイズと 1 個のテスト数量があります。次の結果は、テストデータテーブルに表示されます。

サンプルグループサンプル番号測定値
111
121
131.002
140.997
151
161.001
171
181
191
1100.999
211
220
230
240
250
260
270
280
290
2100
311.001
321
330.9
340.988
351.001
361.004
370.999
380.989
391.012
3101.03
411.001
421
430.9
440.988
451.001
461.004
470.999
480.989
491.012
4101.03
511.001
521
530.9
540.988
551.001
561.004
570.999
580.989
591.012
5101.03

 

範囲の計算

測定値の範囲を決定します。最大測定値は 1.03 です (サンプルグループ 1、サンプル番号 10)。最小測定値は 0.9 です (サンプルグループ 1、サンプル番号 3)。

[...]
範囲 = 1.03 - 0.9 = 0.13
クラスの幅を計算します。
[...]

クラスの幅は、0.13 / √50 = 0.02055480479109446565799280803881 です。この値は 0.02 に丸められます。

クラスを作成します。

クラスは、Class1 が許容範囲下限 (Xmin < 許容範囲下限の場合は Xmin)、次に Class2 = Class1 + W というように作成されます。次のクラスが生成されます。

クラス 10.900000
クラス 20.920000
クラス 30.940000
クラス 40.960000
クラス 50.980000
クラス 61.000000
クラス 71.020000

 

クラスへの値の入力

値がクラス値以上の場合、およびクラス値 + クラス幅より小さい場合は、さまざまな測定値の値をクラスにまとめることができます。結果は次のとおりです。

クラス測定値
11
20
30
40
512
636
71

 

平均値の計算

測定値ごとに、平均値との差が計算され、差の二乗が合計されます。最初のサンプル番号の測定値が 1 の場合、次のようになります。

(1 - 0.995850)² = (0.00415)² = 0.0000172225

それぞれの差の二乗が計算されて、合計されます。上の例では、合計は 1.311734 です。

平均値 = 標準偏差 - √ 1.311734 /
50 = 0.160000
チャートのプロット

次の図は、上のデータでプロットされたデータを示します。

[...]

X 軸には、特徴単位が表示されています。ただし、特定の標準テスト手順または検査オーダラインの場合、測定値がさまざまな単位で表され、後で特徴単位に変換されます。