Création de diagrammes de contrôle Xbar et S

Les diagrammes de contrôle sont utilisés pour gérer et contrôler régulièrement un processus.

La zone de tracé inférieure du diagramme correspond à l'écart standard (S) des valeurs mesurées pour chaque échantillon. Le diagramme S est créé en premier pour assurer le contrôle statistique de la variabilité de l'échantillon.

Pour générer des diagrammes Xbar et S, utilisez la procédure suivante :

Considérez chaque échantillon comme un sous-groupe. Calculez la moyenne de la valeur mesurée pour chaque sous-groupe.

[...]

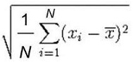
Calculez l'écart standard S pour chaque sous-groupe.

[...]

Calculez la moyenne de toutes les valeurs. Toutes les valeurs doivent être calculées puis divisées par le nombre total de valeurs. La moyenne calculée devient la ligne médiane de la zone supérieure de tracé du diagramme.

Calculez la moyenne des plages des sous-groupes. La moyenne de tous les sous-groupes devient la ligne médiane de la zone de tracé inférieure du diagramme.

Calculez la limite supérieure de contrôle (LSC) et la limite inférieure de contrôle (LIC) pour les moyennes des sous-groupes. Utilisez la formule suivante pour calculer les limites tracées dans la zone de tracé supérieure.

[...]

Les limites de plage pour les écarts standard sont calculées à l'aide de la formule suivante. Ces limites sont tracées dans la zone de tracé inférieure.

[...]
[...]
[...]