To create distribution histograms

Distribution Histograms are used to ascertain the variation by displaying a standard distribution curve of measured values for an item.

To plot this chart you must select the combination of item or item/supplier, inspection order source, aspect/characteristic as well as the relevant time period. This chart is based only on actual inspection results.

The centre line of the distribution curve is the LN calculated mean (µ). The over/under tolerance limits of the process are the limits within which the process is capable of producing parts of an acceptable quality. These tolerance limits are generally expressed as the process mean plus or minus 3 standard deviations (σ) that can capture 95 percent of the normal variance spread.

To plot this type of chart, complete the following steps:

  1. Calculate measured values for a range of periods.
  2. Determine the spread R of the measured values: R = Xmax – Xmin
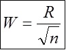
  3. Determine the class width: W = R / SQRT (number of measurements)
  4. Compose the classed: Class 1 Lower Tolerance (or Xmin in case Xmin < Lower Tolerance) then Class2 = Class1 + W and so on
  5. Populate the classes based on the measured values. Determine the frequency within each class.
  6. Calculate the arithmetic means of the measured values.
  7. Calculate the standard deviation
  8. Plot the histogram based on the classes calculated.
Example

Assume that 5 inspection orders are processed, each with 1 sample, resulting in one sample group for each order. All 5 inspection orders have a sample size of 10 pieces and a test quantity of 1 piece. The following results are displayed in the test data table:

Sample GroupSample NumberMeasured Value
111
121
131.002
140.997
151
161.001
171
181
191
1100.999
211
220
230
240
250
260
270
280
290
2100
311.001
321
330.9
340.988
351.001
361.004
370.999
380.989
391.012
3101.03
411.001
421
430.9
440.988
451.001
461.004
470.999
480.989
491.012
4101.03
511.001
521
530.9
540.988
551.001
561.004
570.999
580.989
591.012
5101.03

 

Calculate the spread

Determine the spread of the measured values. The highest measured value is 1.03 (Sample Group 1, Sample Number 10). The lowest measured value is 0.9 (Sample Group 1, Sample Number 3).

[...]
Spread = 1.03 - 0.9 = 0.13
Calculate the class width:
[...]

The class width is 0.13 / √50 = 0.02055480479109446565799280803881. This value is rounded off to 0.02.

Compose the classes

The classes are composed as follows Class 1 Lower Tolerance (or Xmin in case Xmin < Lower Tolerance) then Class2 = Class1 + W and so on. The following classes are generated:

Class 10.900000
Class 20.920000
Class 30.940000
Class 40.960000
Class 50.980000
Class 61.000000
Class 71.020000

 

Populate the classes

The values of the different measurements can be grouped into a class, if the value is greater or equal to the class value, and less than the class value + the class width. The result is:

ClassNumber of measurements
11
20
30
40
512
636
71

 

Calculate the mean

For every measurement, the difference to the mean is calculated and the square of the differences is added together. If the first sample number has a measurement value of 1:

(1 - 0.995850)² = (0.00415)² = 0.0000172225

The square of the differences are calculated and summed together to form a total square difference. For the above example the total is 1.311734.

Mean = Standard Deviation - √ 1.311734 /
		  50 = 0.160000
Plot the chart

The following figure displays the chart plotted with the above data:

[...]

On the X-Axis the characteristics unit is displayed. It is however possible that for a specific standard test procedure or for an inspection order line, the measurement value is expressed in a different unit that are later converted to the characteristic unit.